| 嫦娥五号样品发现月壤矿物中存在高含量的水
 
 
 矿物水含量和氢同位素比值   矿物水含量和氢同位素比值 中国科学院地球化学研究所供图
 
 中新网贵阳9月12日电 (记者 杨茜)记者12日从中国科学院地球化学研究所获悉,通过对嫦娥五号月壤样品研究,发现嫦娥五号矿物表层中存在高含量的水,来源于太阳风的注入作用,其主要以OH的形式存在。
 
 据悉,遥感探测发现月表普遍存在水,Apollo月球样品分析结果有限,月表水的成因和分布也一直存在争议。近日,中国科学院比较行星学卓越创新中心成员、中国科学院地球化学研究所唐红、李雄耀团队针对嫦娥五号月壤样品开展了研究,通过红外光谱和纳米离子探针分析,发现嫦娥五号矿物表层中存在大量的太阳风成因水,估算出太阳风质子注入为嫦娥五号月壤贡献的水含量至少为170 ppm。
 
 
 嫦娥五号矿物表层显微结构的TEM图   嫦娥五号矿物表层显微结构的TEM图 中国科学院地球化学研究所供图
 
 此次研究结合透射电镜与能谱分析,揭示了太阳风成因水的形成和保存主要受矿物的暴露时间、晶体结构和成分等影响。该研究证实了月表矿物是水的重要“储库”,为月表中纬度地区水的分布提供了重要参考。
 
 此次研究揭示了月壤矿物中高含量的太阳风成因水,评估了月表中纬度地区太阳风成因水分布情况,为未来月表水资源利用提供了重要依据,同时也为太阳系无大气天体(如水星、小行星)太阳风成因水的形成机制提供了重要参考。此次研究成果已发表于国际权威期刊《Nature Communications》。
 
 中国嫦娥五号任务在月球风暴洋东北部(43.06°N,51.92°W)采集了1.731 kg月壤样品,该采样点纬度高于以往Apollo和Luna任务的采样点。此外,同位素定年结果表明嫦娥五号样品年龄约为20亿年,是目前获得的最年轻的月球样品。相比于Apollo样品,嫦娥五号样品采样位置和形成年龄独特,为探究月表水的含量和分布提供了全新的窗口。
 
 
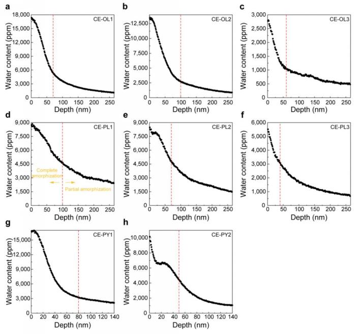
 嫦娥五号矿物水含量深度剖面图   嫦娥五号矿物水含量深度剖面图 中国科学院地球化学研究所供图
 
 月表的翻腾作用导致月壤颗粒暴露在太阳风中的时间不同,即矿物中注入的太阳风质子总量不同,从而导致太阳风成因水的含量不同。太阳风粒子注入会造成矿物表面结构破坏,因此环带的非晶化程度可以评估矿物的暴露时间。此次研究发现矿物的太阳风暴露时间是影响太阳风成因水含量最主要的因素。
 
 结合嫦娥五号月壤矿物组成,估算出嫦娥五号地区月壤中的太阳风成因水含量至少为170 ppm,这一数值显著高于月球内部水,因此本研究认为太阳风质子注入是嫦娥五号地区月壤中水的主要来源。
 
 此外,此次研究表明在月表中纬度地区,如风暴洋北部和雨海盆地,其月壤成熟度与嫦娥五号地区相似,可能存在近似含量的太阳风成因水;而风暴洋西北侧的高地地区月壤相对成熟,该地区月壤中可能存在更高含量的太阳风成因水。(完)
 |